In Matthew 16:24, we have
Then Jesus told his disciples, “If any want to become my followers, let them deny themselves and take up their cross and follow me…
This actually explains Peter’s problem when he denied Jesus three times in the high priest’s courtyard following the arrest of Jesus. He was a righteous person all along, the first one to answer Jesus as the Son of God at Caesarea Philippi, the one that Jesus handed the keys of the kingdom of heaven. However, Peter was so sure of himself that he did not believe what Jesus said he would do. Peter trusted his own wisdom too much and had trouble denying himself. Denying oneself is the key to be in union with Christ!
Recently, I came across a painting by Emily Carr, titled “Scorned as Timber, Beloved by the Sky”. It’s part of the Collection of the Vancouver Art Gallery and can be viewed on its website. I know nothing about art and nothing in particular about this painting. However, it makes me think of how one denies his own wishes and all interruptions and just reaches out to God. As I ponder on the message of Matthew 16:24 and this painting, the mathematician in me led me to think of my kind of art, a simple function
.
The interesting fact about this function is that
the greater the x, the less is g(x).
The more proud we are of ourselves, the more we act on our own wishes and collect our gains in this world, the further we move away from God!
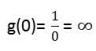
Now, if we were able to deny ourselves completely, setting x to 0, then we would achieve the impossible g(0). It is common for mathematicians to denote a value that one cannot fathom as infinity
.
As one can never divide 1 by 0, the general notation of expression of is
.
The infinity seems to point at the infinite power of God, our God Almighty!
So, here it is, a simple elegant function 
that reminds me of Matthew 16:24!

Leave a comment